이번 포스팅에서는 저번 KL divergence 글에 이어, forward KL과 reverse KL이 무엇인지에 대해 설명하겠다.
Forward KL
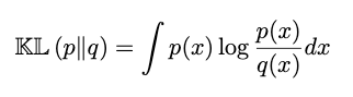
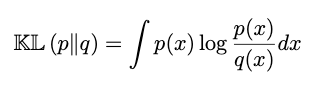
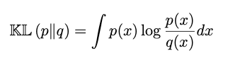
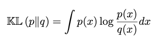
Forward KL(inclusive KL)은 아래와 같이 정의한다. 이는 기존에 우리가 알던 KL divergence의 형태와 같다.

이 Forward KL을 최소화하는 q를 찾는 과정을 우리는 M-projection 혹은 moment projection이라고 부른다. 그렇다면 우리는 이 forward KL을 어떻게 해석할 수 있을까? 이를 해석하기 위해 전체 x 값을 p(x)=0인 구간과 p(x)>0인 구간으로 분류한다.
p(x)=0
p(x)가 0인 구간에 대해서 우리는 KL divergence를 고려할 필요가 없다. 왜냐하면, KL divergence는 p(x)에 log(p(x))/log(q(x))를 곱한 값이기 때문에, p(x)=0을 만족하면 해당 구간에서는 KL divergence 값이 0이 되기 때문이다.
p(x)>0
p(x)가 0 초과인 구간에 대해서는, p(x)/q(x) 값이 클수록 KL divergence가 커지고, p(x)/q(x) 값이 작을수록 KL divergence 값이 작아질 것이다. 그러므로 우리는 p(x)/q(x) 값을 최소화하는 것을 목적으로 해야 한다. 이 때, p(x)>0을 만족하지만 q(x) 값이 0이 되는 구간이 있으면 아래와 같은 그림을 만족할 것이다.

이렇게 q(x)=0이 되어버리면 p(x)/q(x) 값이 매우 커지게 되고, 결론적으로 KL divergence를 최소화할 수 없게 될 것이다. 그러므로 우리는 아래 그림과 같이 p(x)>0인 구간에 대해 q(x)>0을 만족하는 q(x)가 KL divergence를 최소화하는 q(x)라고 표현할 수 있을 것이다.

그러므로, Forward KL divergence가 최소화되려면 q(x)가 p(x)>0인 구간을 모두 'cover'해야 한다.
Reverse KL
Reverse KL(exclusive KL)은 아래와 같이 정의한다. 이는 기존에 우리가 알던 KL divergence의 형태에서 p와 q의 위치를 바꾼 형태이다.

이 Reverse KL을 최소화하는 q를 찾는 과정을 우리는 I-projection 혹은 information projection이라고 부른다. 이 reverse KL을 최소화하기 위해서는, 위에서 forward KL을 찾을 때와 q와 p만 바꾸어서 생각하면 될 것이다. 즉, Reverse KL divergence가 최소화되려면, p(x)가 q(x)>0인 구간을 모두 'cover'해야 한다.
이러한 Forward KL과 Reverse KL을 하나의 그림으로 나타내면 아래와 같다.

이번 포스팅에서는 forward KL과 reverse KL이 무엇인지에 대해 알아보았다. KL(p|q)와 KL(q|p)가 어떻게 다르고, 이를 최소화하는 q가 어떤 차이를 가지고 있는지를 이해하는 데에 도움이 될 것이다.
References
1. Probabilistic Machine Learning: An Introduction by Kevin Patrick Murphy. MIT Press, February 2022.
2. Agustinus Kristiadi's Blog. KL Divergence: Forward vs Reverse?




최근댓글