프로세스 마이닝을 위한 기본적인 데이터인 이벤트 로그로부터 소셜 네트워크를 도출할 수 있을까? 물론 있다. 이번 포스팅에서는 이벤트 로그로부터 도출될 수 있는 소셜 네트워크 중 하나인 handover of work social network에 대해 알아보도록 하겠다.
Handover of work social network란?
Handover of work social network란 말 그대로 구성원 사이에서 일이 어떻게 전달되는지를 표현하는 social network이다. 예를 들어, 다음과 같은 이벤트 로그가 있다고 하자. 이벤트 로그 내의 각 이벤트의 아래쪽에 있는 큰 글자 (a, b, d, e, h)는 액티비티, 위에 있는 작은 글자 (Pete, Sue, Mike, Sara, Pete)는각 액티비티를 수행한 resource를 말한다.

Handover의 종류
Handover에는 여러 종류가 있다. 우선, distance(relation depth)를 고려할 수 있다. 예를 들어, Pete->Sue, Sue->Mike, Mike->Sara, Sara->Pete를 handover라고 한다면 이는 distance가 1인 것이다. 그렇다면 distance가 3인 handover는 무엇일까? Pete->Sara, Sue->Pete이다.
다음으로, 하나의 case 내에서의 중복된 transfer를 따로 셀 것인지(consider multiple transfers) 한 번으로 취급할 것인지 (ignore multiple transfers)에 따라 handover가 달라진다. 예를 들어, 다음과 같은 이벤트 로그가 있다고 하자.

위 이벤트 로그에서는 Edu -> Felix가 두 번 일어난다. 이를 2번으로 취급할지 1번으로 취급할지에 따라 social network의 형태가 달라질 수 있다.
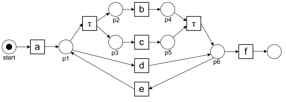
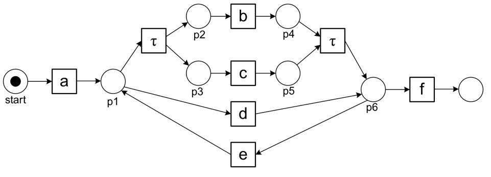
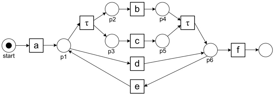
마지막으로, real handover를 handover로 정의할 수도 있다. 실제 프로세스 모델의 causal dependency를 고려하여 handover를 정의하는 것이다. 예를 들어, 다음과 같은 프로세스 모델이 있다고 하자.

위 프로세스 모델에서는 액티비티 b와 c가 concurrent하게 일어난다. 즉, 이벤트 로그 상에서 <..., b, c, ...>로 표현될 수 있지만 b와 c는 일을 전달하는 것은 아닌 것이다. 이렇게 실제 모델의 causal dependency를 고려하여 handover을 정의할 수도 있다.
Handover of work social network를 만드는 법
0. Handover의 종류를 정한다.
위에서도 언급했듯이, 무엇을 Handover로 정할 것인지, 즉 handover의 종류를 정의해야 한다. 우리는 여기서 direct succession(distance=1)를 handover로 정의하도록 한다. 또한 multiple transfers를 고려하도록 한다.
1. Resource - Resource matrix를 만든다.
다음과 같은 예시 이벤트 로그가 있다고 하자.

그러면 여기서 우리는 각 handover가 몇 번 일어났는지를 세어 이를 바탕으로 Resource-Resource matrix를 만들 수 있다. 예를 들어, (Alex, Edu)라는 칸에 Alex가 Edu에게 일을 전달한 횟수를 쓰도록 한다. 그 결과는 다음과 같다.
| Alex | Edu | Felix | Rene | Sara | |
| Alex | 0 | 3 | 1 | 0 | 0 |
| Edu | 2 | 1 | 4 | 0 | 0 |
| Felix | 2 | 2 | 0 | 0 | 0 |
| Rene | 0 | 3 | 1 | 0 | 1 |
| Sara | 0 | 1 | 0 | 5 | 0 |
여기에서 우리는 한 케이스 당 handover가 몇 번 일어났는지를 표시하기를 원하기 때문에 모든 값을 case의 개수(5)로 나누어 준다. 그 결과는 다음과 같다.
| Alex | Edu | Felix | Rene | Sara | |
| Alex | 0 | 0.6 | 0.2 | 0 | 0 |
| Edu | 0.4 | 0.2 | 0.8 | 0 | 0 |
| Felix | 0.4 | 0.4 | 0 | 0 | 0 |
| Rene | 0 | 0.6 | 0.2 | 0 | 0.2 |
| Sara | 0 | 0.2 | 0 | 1 | 0 |
2. Handover of work Social network를 그린다.
이제 위 matrix를 바탕으로 social network를 그려주면 된다. 그 결과는 다음과 같다.

이번 포스팅에서는 Handover of work social netwrok에 대해 알아보았다. 이렇게 프로세스 마이닝과 데이터 마이닝을 하나하나 연결해 함께 분석하다 보면 굉장한 시너지를 얻을 수 있을 것이다.
오늘은 뭔가 글이 잘 안 써진다. 우울... 글에 잡소리가 없으면 우울한 날인 듯.. (라고 잡소리를 썼다)




최근댓글